Warehouse Overstock Promotion | Save 10% on Premium Lab Supplies | Shop Now
MSE PRO High Purity Lead (II) Iodide (PbI2) Trace Metals Basis, Perovskite Grade, 99.999%, 5N, 10g
MSE PRO B4PyPPm (C42H28N6), 99%, 1g
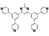
MSE PRO B3PymPm (C37H26N6), 99%, 1g
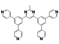
MSE PRO B4PymPm (C37H26N6), 99%, 1g