Mitochondrial Complex Ⅲ (Coenzyme Q-Cytochrome c Reductase) Activity Assay Kit
Couldn't load pickup availability
Still have questions? Ask our experts!
Mitochondrial Complex Ⅲ (Coenzyme Q-Cytochrome c Reductase) Activity Assay Kit
| SKU # | E-BC-K151-M |
| Detection Instrument | Microplate reader (540-560 nm, optimum wavelength: 550 nm) |
| Detection method | Colorimetric method |
Product Details
Properties
| Sample Type | Animal tissue |
| Sensitivity | 4.45 U/L |
| Detection Range | 4.45–106.8 U/L |
| Detection Method | Colorimetric method |
| Assay type | Enzyme Activity |
| Assay time | 10 min |
| Precision | Average inter-assay CV: 10% | Average intra-assay CV: 5% |
| Other instruments required | Centrifuge |
| Storage | -20℃ |
| Valid period | 12 months |
Detection Principle
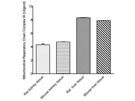
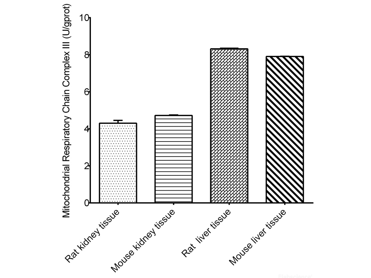
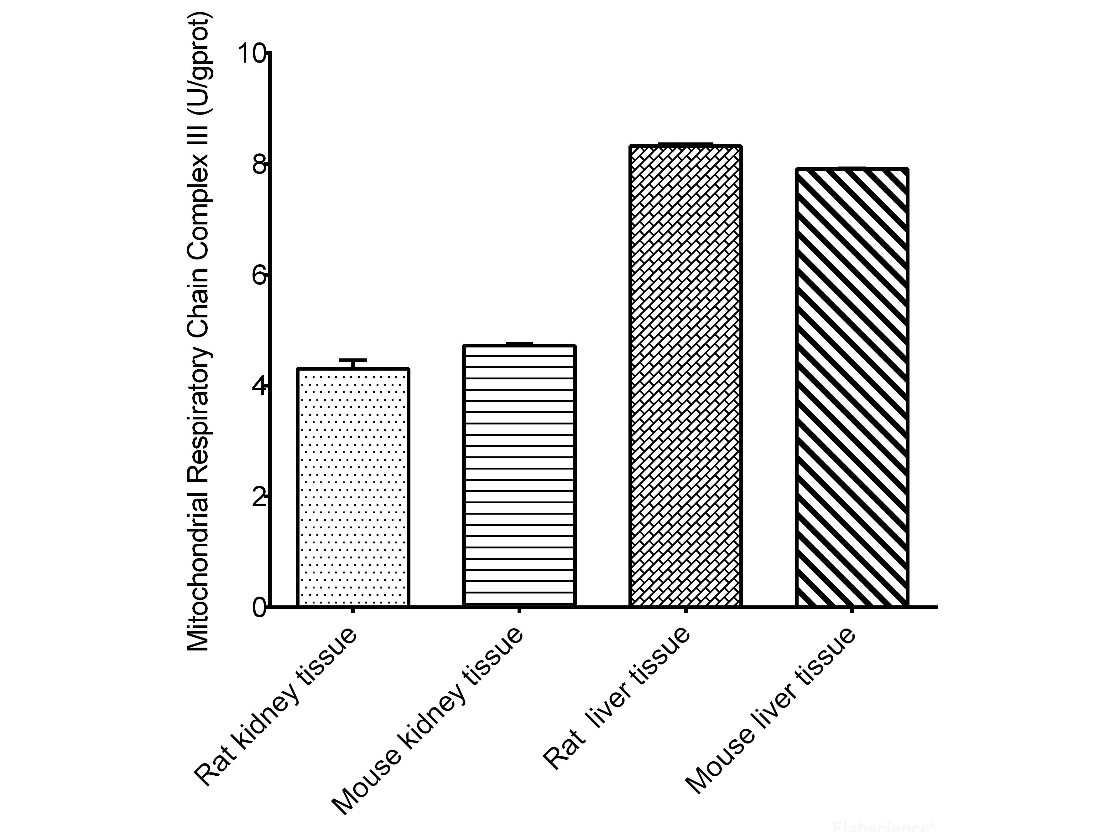
As an organelle, mitochondria is the "power factory" in cells and the main site of aerobic respiration of cells. Its function is to convert energy through oxidative phosphorylation to provide energy for cellular activities. The oxidation process is carried out by four respiratory chain membrane protein complexes (complexes I, II, III and IV) on the inner mitochondrial membrane. mitochondrial complex III, also known as cytochrome c reductase complex, its main function is to oxidize the reduced coenzyme Q10 formed by mitochondrial complexes I and II to oxidative coenzyme Q10. In this process, the OD value increased at 550 nm. Therefore, the activity of mitochondrial complex III can be quantified by measure the change OD value at 550 nm.
Kit Components & Storage
| Item | Component | Size 1(48 T) | Size 2(96 T) | Storage |
| Reagent 1 | Extraction Solution A | 55 mL × 1 vial | 55 mL × 2 vials | -20°C, 12 months |
| Reagent 2 | Extraction Solution B | 13 mL × 1 vial | 26 mL × 1 vial | -20°C, 12 months |
| Reagent 3 | Extraction Solution C | 1.2 mL × 1 vial | 1.2 mL × 2 vials | -20°C, 12 months, shading light |
| Reagent 4 | Substrate A | 3 mL ×1 vial | 6 mL ×1 vial | -20°C, 12 months, shading light |
| Reagent 5 | Diluent | 7 mL ×1 vial | 14 mL ×1 vial | -20°C, 12 months |
| Reagent 6 | Substrate B | 0.8 mL × 1 vial | 1.6 mL × 1 vial | -20°C, 12 months, shading light |
| Reagent 7 | Stabilizer | Powder × 3 vials | Powder ×6 vials | -20°C, 12 months, shading light |
| Reagent 8 | Buffer Solution | 13 mL ×1 vial | 26 mL ×1 vial | -20°C, 12 months |
| Reagent 9 | Inhibitor Controlled Solution | 1.5 mL ×1 vial | 3 mL ×1 vial | -20°C, 12 months, shading light |
| Reagent 10 | Inhibitor | 1.5 mL ×1 vial | 3 mL ×1 vial | -20°C, 12 months, shading light |
| Microplate | 96 wells | No requirement | ||
| Plate Sealer | 2 pieces | |||
Note: The reagents must be stored strictly according to the preservation conditions in the above table. The reagents in different kits cannot be mixed with each other. For a small volume of reagents, please centrifuge before use, so as not to obtain sufficient amount of reagents.
Technical Data:
Parameter:
Intra-assay Precision
Three rat brain tissue samples were assayed in replicates of 20 to determine precision within an assay. (CV = Coefficient of Variation)
| Parameters | Sample 1 | Sample 2 | Sample 3 |
| Mean (U/L) | 10.50 | 56.00 | 88.50 |
| %CV | 5.2 | 4.9 | 4.9 |
Inter-assay Precision
Three rat brain tissue samples were assayed 20 times in duplicate by three operators to determine precision between assays
| Parameters | Sample 1 | Sample 2 | Sample 3 |
| Mean (U/L) | 10.50 | 56.00 | 88.50 |
| %CV | 9.8 | 10.2 | 10.0 |
Recovery
Take three samples of high concentration, middle concentration and low concentration to test the samples of each concentration for 6 times parallelly to get the average recovery rate of 100%.
| Sample 1 | Sample 2 | Sample 3 | |
| Expected Conc. (U/L) | 22.5 | 76.3 | 92.5 |
| Observed Conc. (U/L) | 22.7 | 75.5 | 92.5 |
| Recovery rate (%) | 101 | 99 | 100 |
Sensitivity
The analytical sensitivity of the assay is 4.45 U/L. This was determined by adding two standard deviations to the mean O.D. obtained when the zero standard was assayed 20 times, and calculating the corresponding concentration.