Polysciences Inc. Poly(Dioxanone-Co-Lactide), 85:15, IV 2.1 dL/g
Couldn't load pickup availability
Still have questions? Ask our experts!
Polysciences Inc. Poly(Dioxanone-Co-Lactide), 85:15, IV 2.1 dL/g
MSE Supplies offers polymer reagents from Polysciences Inc.
Product Overview
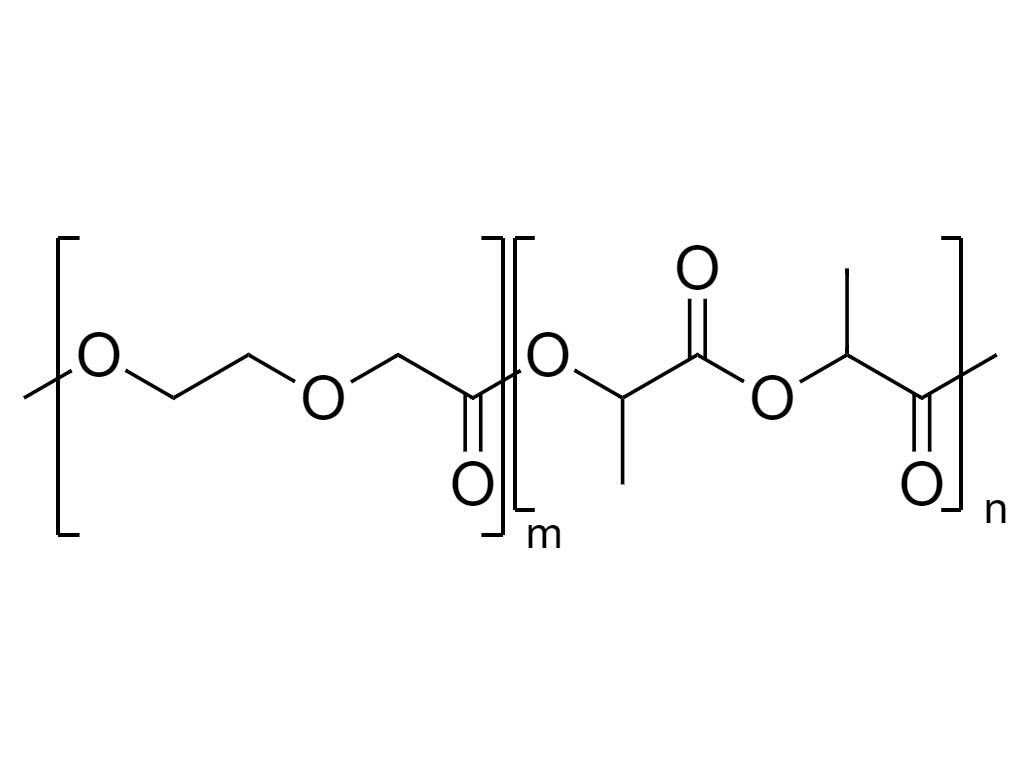
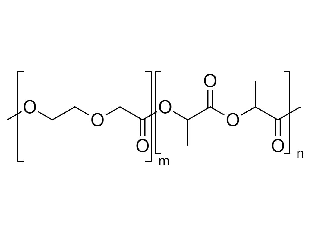
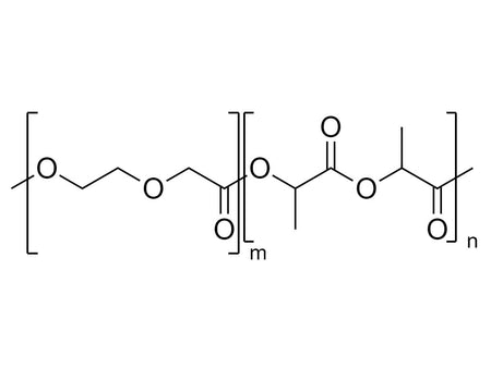
Poly(dioxanone-co-L-lactide) (PDO-PLA) is a biodegradable and biocompatible copolymer used in biomedical devices including staples, sutures, meshes, coatings, and controlled drug delivery. PDO-PLA is degraded by hydrolysis via the ester linkages with a greater ratio of lactide denoting a longer biodegradation timeframe. Increased ratios of lactide also denote greater flexibility to the polymer structure.
PDO-PLA
PDS-PLA
Dioxanone and Lactide Copolymer
Properties
References
1. Jiang, Zhaozhong, et al. "Lipase-catalyzed copolymerization of ω-pentadecalactone with p-dioxanone and characterization of copolymer thermal and crystalline properties." Biomacromolecules 8.7 (2007): 2262-2269.
https://doi.org/10.1021/bm070138a