Mitochondrial Complex I (NADH-CoQ Reductase) Activity Assay Kit
Couldn't load pickup availability
Still have questions? Ask our experts!
Mitochondrial Complex I (NADH-CoQ Reductase) Activity Assay Kit
| SKU # | E-BC-K149-M |
| Detection Instrument | Microplate reader (340 nm) |
| Detection method | Colorimetric method |
Product Details
Properties
| Synonyms | Animal tissue |
| Sensitivity | 15.58 U/L |
| Detection Range | 15.58-224.2 U/L |
| Detection Method | Colorimetric method |
| Assay type | Enzyme Activity |
| Assay time | 15 min |
| Precision | Average inter-assay CV: 8.400% | Average intra-assay CV: 0.800% |
| Other instruments required | Centrifuge, 37℃ incubator |
| Other reagents required | Anhydrous ethanol (AR) |
| Storage | -20℃ |
| Valid period | 12 months |
Detection Principle
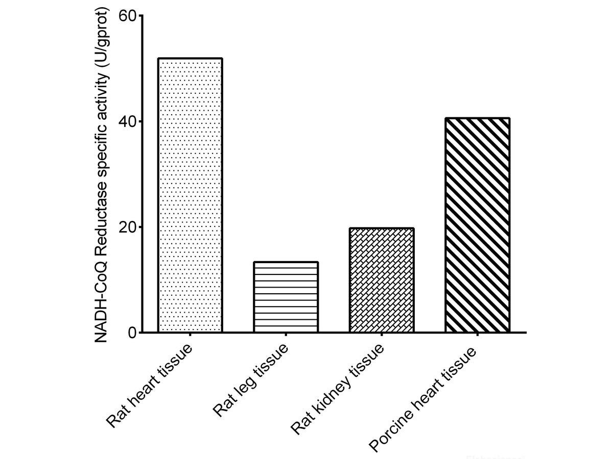
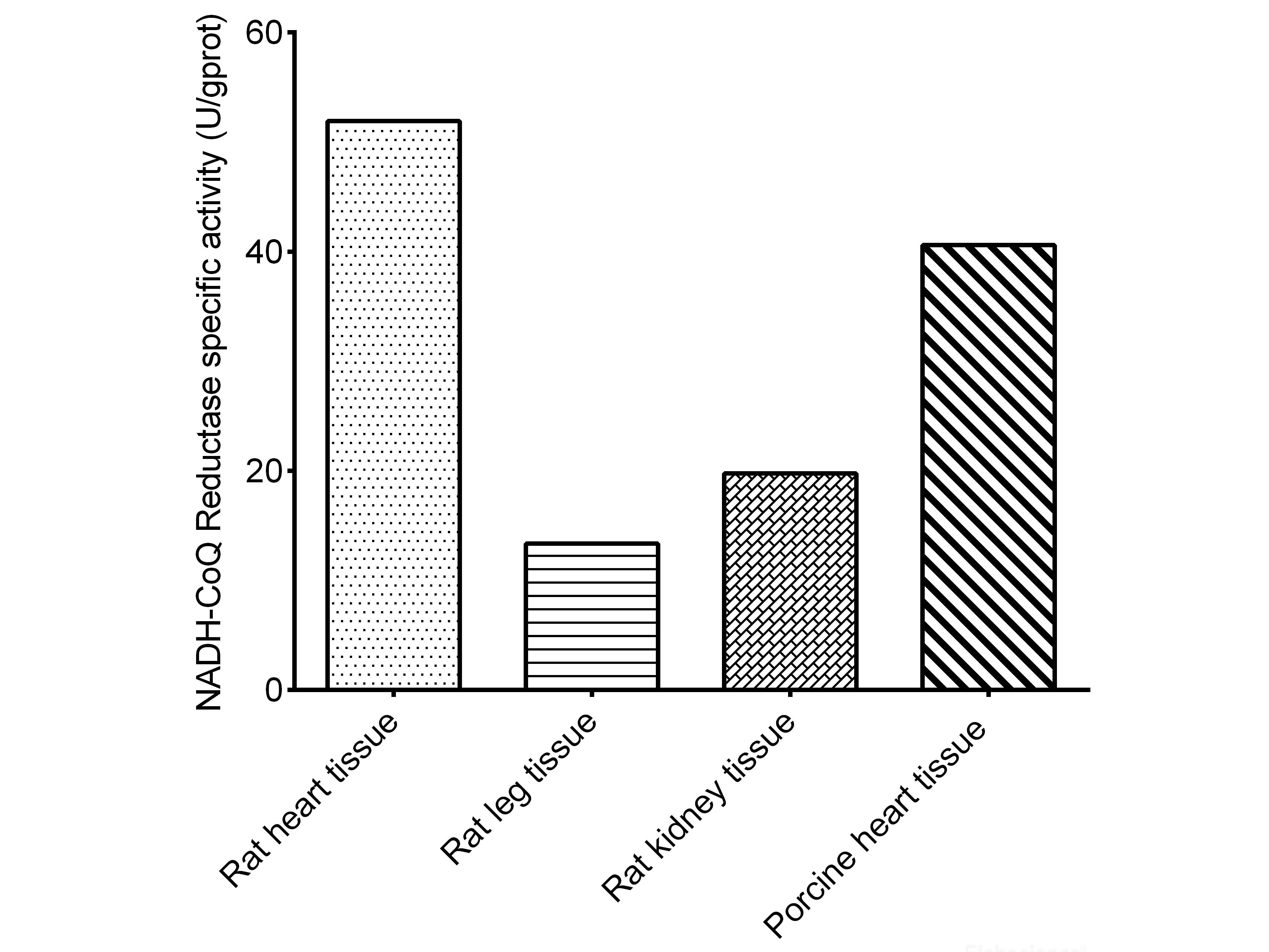
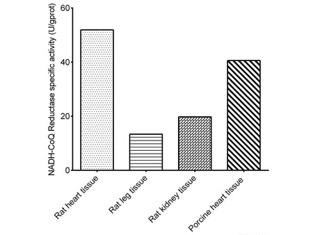
Mitochondrial complex I catalyzes the reaction of NADH with ubiquinone substrate to generate NAD+ and reduced ubiquinone. The specific inhibitor rotenone can inhibit the enzyme, and the total enzyme activity minus the enzyme activity after inhibitor inhibition can reflect its specific enzyme activity.
Kit Components & Storage
| Item | Component | Size 1(48 T) | Size 2(96 T) | Storage |
| Reagent 1 | Extraction Solution A | 50 mL × 1 vial | 50 mL × 2 vials | 2-8°C, 12 months |
| Reagent 2 | Extraction Solution B | 25 mL × 1 vial | 50 mL × 1 vial | 2-8°C, 12 months |
| Reagent 3 | Protease Inhibitor | 0.4 mL × 1 vial | 0.4 mL × 2 vials | 2-8°C, 12 months, shading light |
| Reagent 4 | Buffer Solution | 15 mL × 1 vial | 15 mL × 2 vials | 2-8°C, 12 months, shading light |
| Reagent 5 | Substrate A | Powder ×1 vial | Powder ×2 vials | 2-8°C, 12 months, shading light |
| Reagent 6 | Substrate B | Powder ×1 vial | Powder ×1 vial | 2-8°C, 12 months, shading light |
| Reagent 7 | Inhibitor | 1.5 mL × 1 vial | 1.5 mL × 2 vials | 2-8°C, 12 months, shading light |
| Reagent 8 | Negative Reagent | 1.5 mL × 1 vial | 1.5 mL × 2 vials | 2-8°C, 12 months, shading light |
| UV Microplate | 96 wells | No requirement | ||
| Plate Sealer | 2 pieces | |||
Note: The reagents must be stored strictly according to the preservation conditions in the above table. The reagents in different kits cannot be mixed with each other. For a small volume of reagents, please centrifuge before use, so as not to obtain sufficient amount of reagents.
Technical Data:
Parameter:
Intra-assay Precision
Three rat lung tissue samples were assayed in replicates of 20 to determine precision within an assay. (CV = Coefficient of Variation)
| Parameters | Sample 1 | Sample 2 | Sample 3 |
| Mean (U/L) | 32.50 | 105.00 | 197.00 |
| %CV | 1.0 | 0.7 | 0.7 |
Inter-assay Precision
Three rat lung tissue samples were assayed 20 times in duplicate by three operators to determine precision between assays.
| Parameters | Sample 1 | Sample 2 | Sample 3 |
| Mean (U/L) | 32.50 | 105.00 | 197.00 |
| %CV | 8.2 | 8.6 | 8.4 |
Recovery
Take three samples of high concentration, middle concentration and low concentration to test the samples of each concentration for 6 times parallelly to get the average recovery rate of 102%.
| Sample 1 | Sample 2 | Sample 3 | |
| Expected Conc. (U/L) | 56.8 | 135 | 188 |
| Observed Conc. (U/L) | 58.5 | 132.3 | 197.4 |
| Recovery rate (%) | 103 | 98 | 105 |
Sensitivity
The analytical sensitivity of the assay is 15.58 U/L. This was determined by adding two standard deviations to the mean O.D. obtained when the zero standard was assayed 20 times, and calculating the corresponding concentration.