Warehouse Overstock Promotion |  Save 10%  on Premium Lab Supplies |  Shop Now

Menu

This product has been added to the cart.

Rat FE(Ferritin) ELISA Kit

SKU: E-EL-R3018

  • $ 55295
  • Save $ 6700


Request a Quote

Rat FE(Ferritin) ELISA Kit

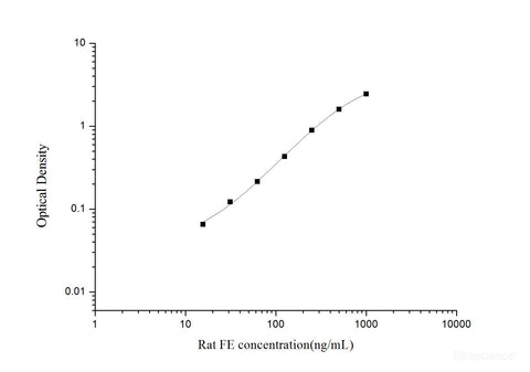
Detection Range 15.63-1000 ng/mL
Sensitivity 9.38 ng/mL



Product Details

Properties

Assay type Sandwich-ELISA
Format 96T
Assay time 3.5h
Detection range 15.63-1000 ng/mL
Sensitivity 9.38 ng/mL
Sample type &Sample volume serum, plasma and other biological fluids; 100μL
Specificity This kit recognizes Rat FE in samples. No significant cross-reactivity or interference between Rat FE and analogues was observed.
Reproducibility Both intra-CV and inter-CV are < 10%.
Application This ELISA kit applies to the in vitro quantitative determination of Rat FE concentrations in serum, plasma and other biological fluids.

 

Test Principle

This ELISA kit uses the Sandwich-ELISA principle. The micro ELISA plate provided in this kit has been pre-coated with an antibody specific to Rat FE. Standards or samples are added to the micro ELISA plate wells and combined with the specific antibody. Then a biotinylated detection antibody specific for Rat FE and Avidin-Horseradish Peroxidase (HRP) conjugate are added successively to each micro plate well and incubated. Free components are washed away. The substrate solution is added to each well. Only those wells that contain Rat FE, biotinylated detection antibody and Avidin-HRP conjugate will appear blue in color. The enzyme-substrate reaction is terminated by the addition of stop solution and the color turns yellow. The optical density (OD) is measured spectrophotometrically at a wavelength of 450 nm ± 2 nm. The OD value is proportional to the concentration of Rat FE. You can calculate the concentration of Rat FE in the samples by comparing the OD of the samples to the standard curve.

 

Kit Components and Storage

An unopened kit can be stored at 2-8℃ for 1 month. If the kit is not supposed to be used within 1 month, store the components separately according to the following conditions once the kit is received.

Item Specifications Storage
Micro ELISA Plate(Dismountable) 96T: 8 wells ×12 strips
48T: 8 wells ×6 strips
-20℃, 6 months
Reference Standard 96T: 2 vials
48T: 1 vial
Concentrated Biotinylated Detection Ab (100×) 96T: 1 vial, 120 μL
48T: 1 vial, 60 μL
Concentrated HRP Conjugate (100×) 96T: 1 vial, 120 μL
48T: 1 vial, 60 μL
-20℃(Protect from light), 6 months
Reference Standard & Sample Diluent 1 vial, 20 mL 2-8°C, 6 months
Biotinylated Detection Ab Diluent 1 vial, 14 mL
HRP Conjugate Diluent 1 vial, 14 mL
Concentrated Wash Buffer (25×) 1 vial, 30 mL
Substrate Reagent 1 vial, 10 mL 2-8℃(Protect from light)
Stop Solution 1 vial, 10 mL 2-8°C
Plate Sealer 5 pieces
Manual 1 copy
Certificate of Analysis 1 copy

 

 

Technical Data:

Precision

Intra-assay Precision (Precision within an assay): 3 samples with low, mid range and high level Rat FE were tested 20 times on one plate, respectively.
Inter-assay Precision (Precision between assays): 3 samples with low, mid range and high level Rat FE were tested on 3 different plates, 20 replicates in each plate.

  Intra-assay Precision Inter-assay Precision
Sample 1 2 3 1 2 3
n 20 20 20 20 20 20
Mean (ng/mL) 45.70 109.38 474.75 40.17 105.34 423.99
Standard deviation 2.58 5.01 22.31 2.24 4.75 17.60
CV (%) 5.65 4.58 4.70 5.58 4.51 4.15

 

 Recovery

The recovery of Rat FE spiked at three different levels in samples throughout the range of the assay was evaluated in various matrices.

Sample Type Range (%) Average Recovery (%)
Serum(n=8) 84-97 91
EDTA plasma (n=8) 100-109 103
Cell culture media (n=8) 82-95 90


Target Information

Synonyms     FE
Research Area     Cancer, Cardiovascular, Metabolism, Neuroscience, Signal transduction


Assay Procedures

elisa assay procedure 1

1. Add 100μL standard or sample to the wells. Incubate for 90 min at 37°C

elisa assay procedure 2

2. Discard the liquid, immediately add 100μL Biotinylated Detection Ab working solution to each well. Incubate for 60 min at 37°C

elisa assay procedure 3

3. Aspirate and wash the plate for 3 times

elisa assay procedure 4

4. Add 100μL HRP conjugate working solution. Incubate for 30 min at 37°C. Aspirate and wash the plate for 5 times

elisa assay procedure 5

5. Add 90μL Substrate Reagent. Incubate for 15 min at 37°C

elisa assay procedure 6

6. Add 50μL Stop Solution

elisa assay procedure 7

7. Read the plate at 450nm immediately. Calculation of the results