Warehouse Overstock Promotion |  Save 10%  on Premium Lab Supplies |  Shop Now

Menu

This product has been added to the cart.

Hydrogen Peroxide (H2O2) Fluorometric Assay Kit

SKU: E-BC-F001-500

  • $ 50395
  • Save $ 6100


Request a Quote

Hydrogen Peroxide (H2O2) Fluorometric Assay Kit

 

SKU # E-BC-F001
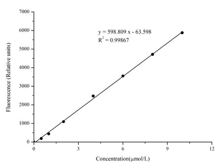
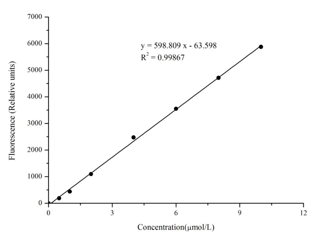
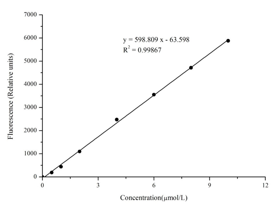
Detection Instrument Fluorescnece Microplate Reader (Ex/Em=535 nm/587 nm)
Detection Method Fluorescence Method

 

Detection Principle

In the presence of peroxidase, hydrogen peroxide reacts with the fluorescent probe, and the fluorescence intensity at the excitation wavelength of 535 nm and the emission wavelength of 587 nm is proportional to the hydrogen peroxide concentration.

 

Performance Characteristics

Sample type Serum, plasma, tissue, cells
Sensitivity 0.02 μmol/L
Detection range 0.02-10 μmol/L
Detection method Fluorescence method
Assay type Quantitative
Assay time 50 min
Precision Average inter-assay CV: 3.600%Average intra-assay CV: 1.100%
Other instruments required Micropipettor, Incubator, Vortex mixer, Centrifuge
Storage Reagent 5 & Reagent 6, 2-8℃; others, -20℃
Valid period 12 months

 

Dilution of Sample

It is recommended to take 2~3 samples with expected large difference to do pre-experiment before formal experiment and dilute the sample according to the result of the pre-experiment and the detection range (0.02-10 μmol/L).

The recommended dilution factor for different samples is as follows (for reference only):

Sample type

Dilution factor

Human serum

1-3

Rat serum

1-4

Mouse serum

1-4

Mouse plasma

1-2

Porcine serum

1-3

HepG2 cell culture supernatant

1

10% Mouse liver tissue homogenate

1-3

10% Mouse brain tissue homogenate

1-3

10% Rat lung tissue homogenate

1-3

HepG2 cell homogenate (6.44 gprot/L)

1-2

Note: The diluent is reagent 1.