Hexokinase (HK) Activity Assay Kit
Couldn't load pickup availability
Still have questions? Ask our experts!
Hexokinase (HK) Activity Assay Kit
| SKU # | E-BC-K610-M |
| Detection Instrument | Microplate reader (440-450 nm, optimum wavelength: 450 nm) |
Product Details
Properties
| Synonyms | HK |
| Sample type | Animal tissue, cell |
| Sensitivity | 5.93 U/L |
| Detection range | 5.93-40.11 U/L |
| Assay type | Enzyme Activity |
| Assay time | 30 min |
| Precision | Average inter-assay CV: 9.100% | Average intra-assay CV: 3.300% |
| Other instruments required | Centrifuge, 37℃ incubator |
| Storage | -20℃ |
| Valid period | 12 months |
Dilution of Sample
The recommended dilution factor for different samples is as follows (for reference only):
| Sample type | Dilution factor |
| 10% Mouse spleen tissue homogenate | 1 |
| 10% Mouse liver tissue homogenate | 1 |
| 10% Mouse kidney tissue homogenate | 1 |
| 10% Mouse heart tissue homogenate | 2-6 |
| 10% Mouse brain tissue homogenate | 1 |
| 10% Rat spleen tissue homogenate | 1 |
| 10% Rat lung tissue homogenate | 1 |
| 10% Rat liver tissue homogenate | 1 |
Note: The diluent is normal saline (0.9% NaCl). For the dilution of other sample types, please do pretest to confirm the dilution factor
Detection Principle
HK converts glucose to glucose 6-phosphate, which is catalyzed by the enzyme. Meanwhile, NAD+ is reduced to NADH, which under the action of hydrogen transmitter, transfer electrons to WST-8 to produce the yellow product. The activity of HK can be calculated by measuring the change of absorbance value at 450 nm.
Kit Components & Storage
| Item | Component | Size (96 T) | Storage |
| Reagent 1 | Buffer Solution | 25 mL ×1 vial | -20℃, 12 months |
| Reagent 2 | Substrate | Powder × 1 vial | -20℃, 12 months, shading light |
| Reagent 3 | Enzyme Reagent | Powder ×1 vial | -20℃, 12 months, shading light |
| Reagent 4 | Chromogenic Agent | 3 mL × 1 vial | -20℃, 12 months, shading light |
| Reagent 5 | 0.8 mmol/L Standard | 3.2 mL × 1 vial | -20℃, 12 months, shading light |
| Microplate | 96 wells | No requirement | |
| Plate Sealer | 2 pieces |
Note: The reagents must be stored strictly according to the preservation conditions in the above table. The reagents in different kits cannot be mixed with each other. For a small volume of reagents, please centrifuge before use, so as not to obtain sufficient amount of reagents.
Technical Data:
Parameter:
Intra-assay Precision
Three mouse heart tissue samples were assayed in replicates of 20 to determine precision within an assay (CV = Coefficient of Variation).
| Parameters | Sample 1 | Sample 2 | Sample 3 |
| Mean (U/L) | 12.40 | 25.50 | 32.00 |
| %CV | 3.6 | 3.2 | 3.1 |
Inter-assay Precision
Three mouse heart tissue samples were assayed 20 times in duplicate by three operators to determine precision between assays.
| Parameters | Sample 1 | Sample 2 | Sample 3 |
| Mean (U/L) | 12.40 | 25.50 | 32.00 |
| %CV | 8.7 | 9.5 | 9.1 |
Recovery
Take three samples of high concentration, middle concentration and low concentration to test the samples of each concentration for 6 times parallelly to get the average recovery rate of 99%.
| Standard 1 | Standard 2 | Standard 3 | |
| Expected Conc. (mmol/L) | 0.28 | 0.45 | 0.62 |
| Observed Conc. (mmol/L) | 0.3 | 0.4 | 0.6 |
| Recovery rate (%) | 101 | 95 | 101 |
Sensitivity
The analytical sensitivity of the assay is 5.93 U/L. This was determined by adding two standard deviations to the mean O.D. obtained when the zero standard was assayed 20 times, and calculating the corresponding concentration
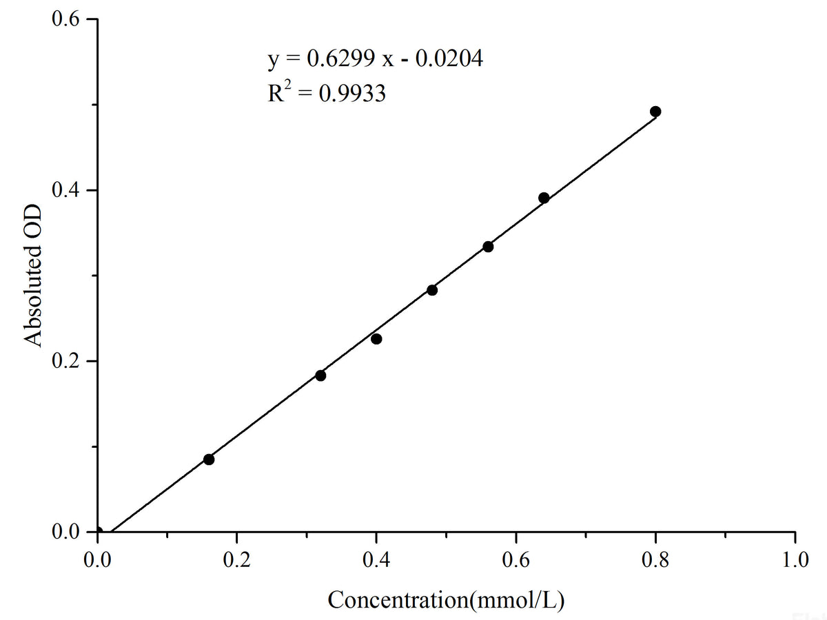
Standard Curve
As the OD value of the standard curve may vary according to the conditions of the actual assay performance (e.g. operator, pipetting technique or temperature effects), so the standard curve and data are provided as below for reference only:
| Concentration (μmol/L) | 0 | 0.16 | 0.32 | 0.4 | 0.48 | 0.56 | 0.64 | 0.8 |
| Average OD | 0.049 | 0.132 | 0.232 | 0.275 | 0.332 | 0.383 | 0.440 | 0.541 |
| Absoluted OD | 0 | 0.085 | 0.183 | 0.226 | 0.283 | 0.334 | 0.391 | 0.492 |