Warehouse Overstock Promotion |  Save 10%  on Premium Lab Supplies |  Shop Now

Menu

This product has been added to the cart.

Polysciences Inc. Poly(Trimethylene Carbonate-Co-L-Lactide), 60:40, IV 1.0 dL/g - MSE Supplies LLC

Polysciences Inc. Poly(Trimethylene Carbonate-Co-L-Lactide), 60:40, IV 1.0 dL/g

SKU: 50027-25

  • $ 1,38095
  • Save $ 000


Request a Quote

Polysciences Inc. Poly(Trimethylene Carbonate-Co-L-Lactide), 60:40, IV 1.0 dL/g

MSE Supplies offers polymer reagents from Polysciences Inc.

CAS Number: N/A
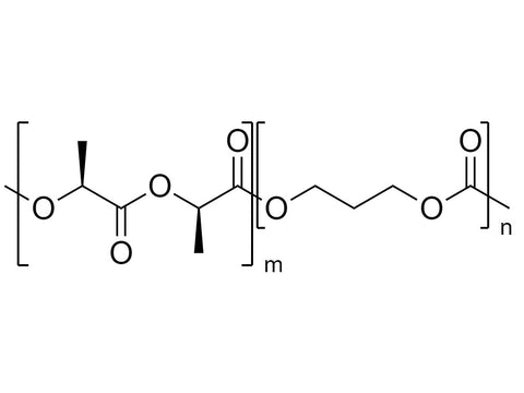
Linear Formula: (C4H6O3)m(C3H4O2)n

Product Overview

Poly(trimethylene carbonate-co-L-lactide) (PTMCLLA) is a biodegradable copolymer that has gained popularity in various biomedical applications, including drug delivery, tissue engineering, and wound healing. This copolymer combines the unique properties of both monomers, resulting in a material with improved rigidity, increased biodegradability, and varied degradation compared to the homopolymers.

The biodegradation rate of PTMCLLA is typically greater compared to PTMC homopolymer due to the additional sites susceptible to hydrolytic degradation. The degradation rate of PTMCLLA is also influenced by other factors such as the molecular weight, crystallinity, pH, temperature, and presence of enzymes.

Shipping Requirements: Dry Ice
Synonyms/Acronyms: PTMC-co-Lactide Copolymer
PTMC and Lactide Copolymer
PTMC-PLA
PTMCLLA

Properties

Viscosity: ~1.0 dL/g [i.v.]
Appearance: Light yellow to tan solid
Molecular Weight: -
Biodegradation Time: ~ Weeks to months


References

1. Fuoco, Tiziana, Torbjörn Mathisen, and Anna Finne-Wistrand. "Minimizing the time gap between service lifetime and complete resorption of degradable melt-spun multifilament fibers." Polymer degradation and stability 163 (2019): 43-51.
https://doi.org/10.1016/j.polymdegradstab.2019.02.026

2. Jain, Shubham, et al. "Engineering 3D degradable, pliable scaffolds toward adipose tissue regeneration; optimized printability, simulations and surface modification." Journal of tissue engineering 11 (2020): 2041731420954316. DOI: 10.1177/2041731420954316

Safety and Storage

Hazards: Harmless - use normal precautions; Hygroscopic
Handling: Gloves & fume hood
Storage: Protect from moisture. Store at -20°C.

MSE Supplies provides a diverse range of polymers, which can serve as versatile platforms for developing more advanced polymer systems. For bulk orders, contact us today