Polysciences Inc. Poly(Trimethylene Carbonate-Co-L-Lactide), 60:40, IV 1.2 dL/g
Couldn't load pickup availability
Still have questions? Ask our experts!
Polysciences Inc. Poly(Trimethylene Carbonate-Co-L-Lactide), 60:40, IV 1.2 dL/g
MSE Supplies offers polymer reagents from Polysciences Inc.
Product Overview
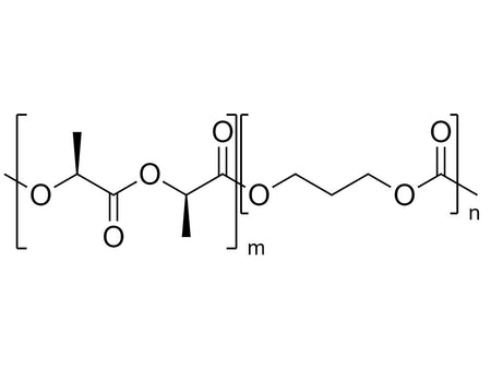
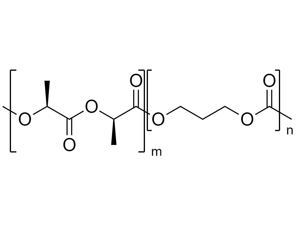
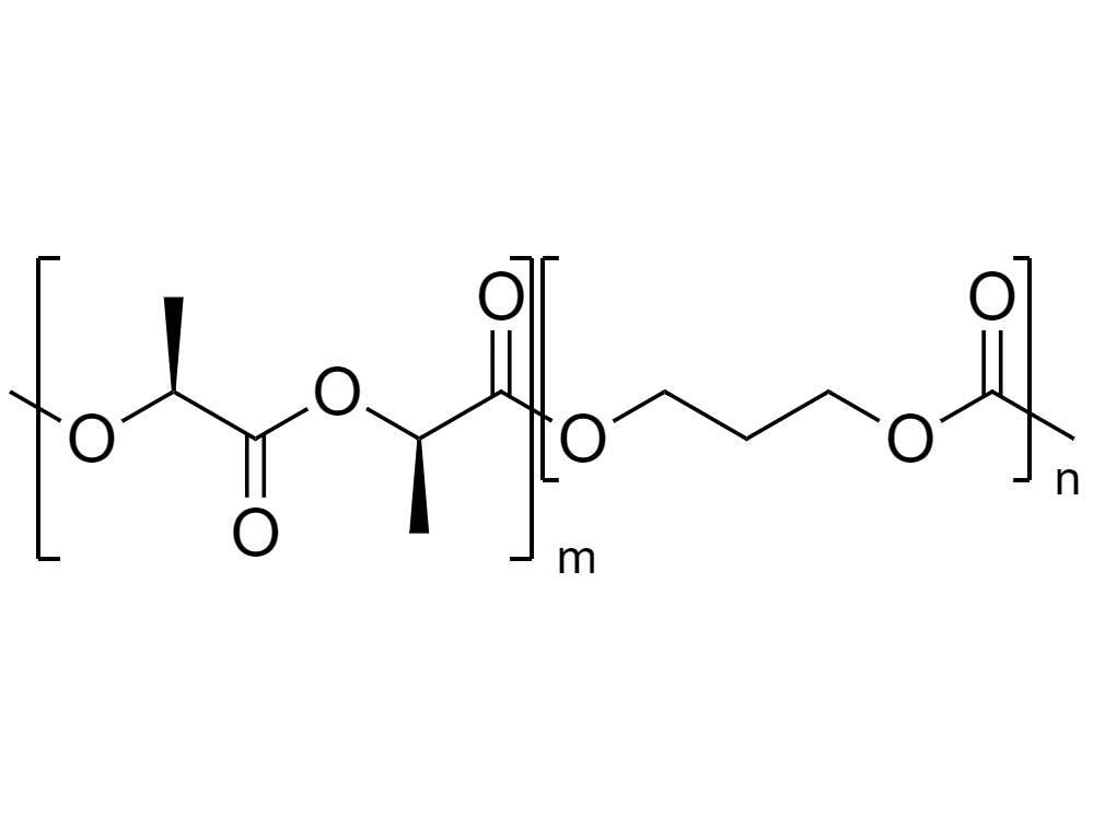
Poly(trimethylene carbonate-co-L-lactide) (PTMCLLA) is a biodegradable copolymer that has gained popularity in various biomedical applications, including drug delivery, tissue engineering, and wound healing. This copolymer combines the unique properties of both monomers, resulting in a material with improved rigidity, increased biodegradability, and varied degradation compared to the homopolymers.
The biodegradation rate of PTMCLLA is typically greater compared to PTMC homopolymer due to the additional sites susceptible to hydrolytic degradation. The degradation rate of PTMCLLA is also influenced by other factors such as the molecular weight, crystallinity, pH, temperature, and presence of enzymes.
PTMC and Lactide Copolymer
PTMC-PLA
PTMCLLA
Properties
References
1. Fuoco, Tiziana, Torbjörn Mathisen, and Anna Finne-Wistrand. "Minimizing the time gap between service lifetime and complete resorption of degradable melt-spun multifilament fibers." Polymer degradation and stability 163 (2019): 43-51.
https://doi.org/10.1016/j.polymdegradstab.2019.02.026
2. Jain, Shubham, et al. "Engineering 3D degradable, pliable scaffolds toward adipose tissue regeneration; optimized printability, simulations and surface modification." Journal of tissue engineering 11 (2020): 2041731420954316. DOI: 10.1177/2041731420954316