MSE PRO Premium Grade Solid Electrolyte 300 nm Powder Lithium Aluminum Titanium Phosphate
Couldn't load pickup availability
Still have questions? Ask our experts!
DOWNLOAD SDS
Product Information
MSE PRO Solid Electrolyte, LATP, Li1.3Al0.3Ti1.7(PO4)3 Nano Powder, Solid State Electrolyte for Advanced Lithium Batteries, 300nm
- SKU# PO0256
- CAS Number: 120479-61-0
- Composition: Li1.3Al0.3Ti1.7(PO4)3 (LATP), Lithium aluminum titanium phosphate, crystalline material.
LATP is a sodium superionic conductor (NaSICON) structure solid state electrolyte for solid state battery applications.
Typical granular particle size distribution (PSD):
(Secondary particles could be larger due to agglomeration during slurry drying and storage. Dispersion of the powder in a slurry is recommended in order to break the soft agglomerates.)
|
|
Value |
|
PH |
7.3 |
|
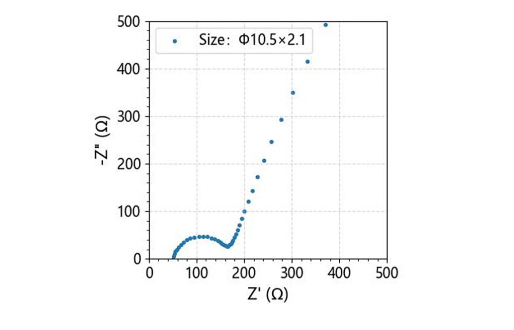
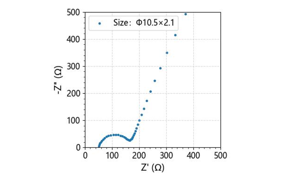
Ionic Conductivity (mS/cm) |
1.32 |
|
Primary Particle D50 (um) |
0.3 |
|
Secondary Particle D50 (um) |
7 |
Applications: Solid state electrolyte material for all solid-state lithium ion batteries.
* All solid state electrolyte materials sold by MSE Supplies are under the trademark of Ampcera.
- Ji-Won Jung, etc. Straightforward strategy toward a shape-deformable carbon-free cathode for flexible Li–air batteries in ambient air, Nano Energy, Volume 83, May 2021, 105821
- The ceramic LATP electrolyte power was purchased from MSE supplies (Ampcera Solid Electrolyte LATP 300 nm powder, USA).
- Jeffrey W. Fergus, Ceramic and polymeric solid electrolytes for lithium-ion batteries, Journal of Power Sources, Volume 195, Issue 15, 1 August 2010, Pages 45544569
- Duluard, Sandrine and Paillassa, Aude and Puech, Laurent and Vinatier,
Philippe and Turq, Viviane and Rozier, Patrick and Lenormand, Pascal and Taberna, Pierre-Louis and Simon, Patrice and Ansart, Florence, Lithium conducting solid electrolyte Li1.3Al0.3Ti1.7(PO4)3 obtained via solution chemistry. (2013) Journal of the European Ceramic Society, vol. 33 (no 6). pp.
1145-1153. ISSN 0955-2219 - Mykhailo Monchak, Thomas Hupfer, Anatoliy Senyshyn, Hans Boysen, Dmitry Chernyshov, Thomas Hansen, Karl G. Schell, Ethel C. Bucharsky, Michael J. Hoffmann, Helmut Ehrenberg, Lithium Diffusion Pathway in Li1.3Al0.3Ti1.7(PO4)3 (LATP) Superionic Conductor, Inorg. Chem. 2016, 55, 6, 2941-2945

